Упр.104 Рабочая тетрадь №1 ГДЗ Мерзляк Полонский 6 класс (Математика)
Решение #1

Рассмотрим вариант решения задания из учебника Мерзляк, Полонский, Якир 6 класс, Вентана-Граф:
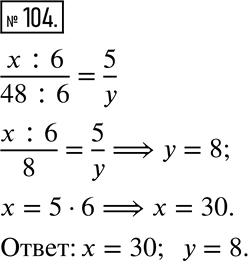
104. Дробь x/48 сократили на б и получили дробь 5/y. Найдите значения х и у.
*размещая тексты в комментариях ниже, вы автоматически соглашаетесь с пользовательским соглашением