Упр.19 ГДЗ Муравин 7 класс (Алгебра)
Решение #1

Рассмотрим вариант решения задания из учебника Муравин, Муравина 7 класс, Дрофа:
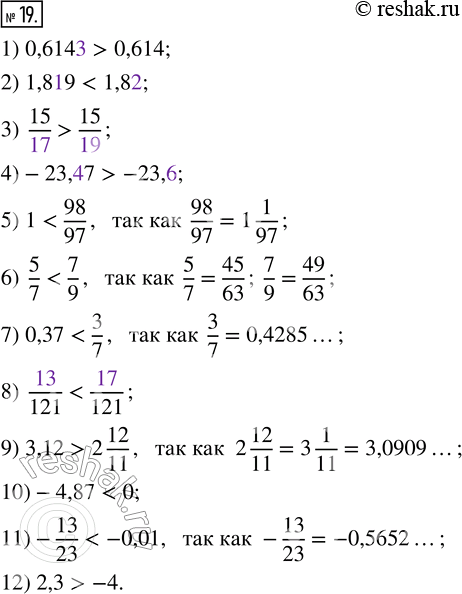
19. Сравните числа:
1) 0,6143 и 0,614; 5) 1 и 98/97; 9) 3,12 и 2 12/11;
2) 1,819 и 1,82; 6) 5/7 и 7/9; 10) -4,87 и 0;
3) 15/17 и 15/19; 7) 0,37 и 3/7; 11) -13/23 и -0,01;
4) -23,47 и -23,6; 8) 13/121 и 17/121; 12) 2,3 и -4.
*размещая тексты в комментариях ниже, вы автоматически соглашаетесь с пользовательским соглашением