Упр.355 ГДЗ Колягин Ткачёва 10 класс (Алгебра)
Решение #1
Решение #2

Рассмотрим вариант решения задания из учебника Колягин, Ткачёва, Фёдорова 10 класс, Просвещение:
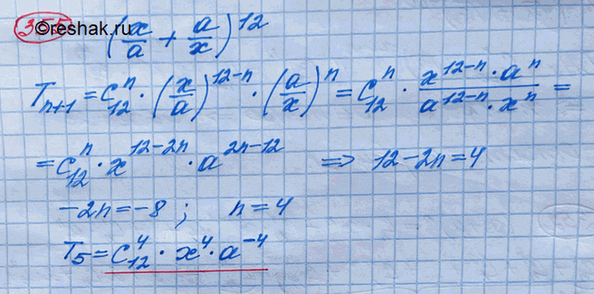
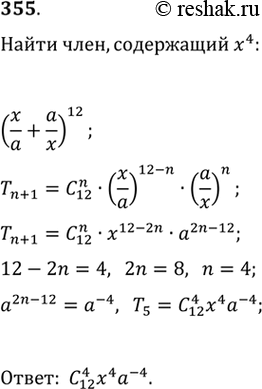
355 Найти член разложения бинома (x/a+a/x)12, содержащий х4.
*размещая тексты в комментариях ниже, вы автоматически соглашаетесь с пользовательским соглашением