Упр.399 ГДЗ Муравин 7 класс (Алгебра)
Решение #1

Рассмотрим вариант решения задания из учебника Муравин, Муравина 7 класс, Дрофа:
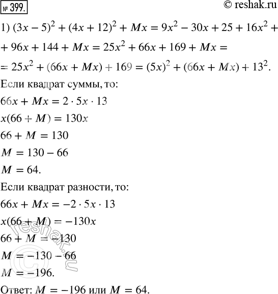
399. Найдите такие значения М, при которых можно представить в виде квадрата двучлена выражение:
1) (3х - 5)^2 + (4х + 12)^2 + Мх;
2) (17x + 10)^2 - (15х - 8)^2 + Мх.
*размещая тексты в комментариях ниже, вы автоматически соглашаетесь с пользовательским соглашением