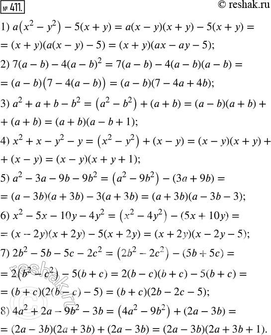
Упр.411 ГДЗ Муравин 7 класс (Алгебра)
Решение #1

Рассмотрим вариант решения задания из учебника Муравин, Муравина 7 класс, Дрофа:
411. Представьте в виде произведения многочленов:
1) а(х^2 - у^2) - 5(x + у); 5) a^2 - 3a - 9b - 9b^2;
2) 7(а - b) - 4(а - b)^2; 6) x^2 - 5x - 10y - 4y^2;
3) а^2 + а + b - b^2; 7) 2b^2 - 5b - 5c - 2c^2;
4) х^2 + х - у^2 - у; 8) 4a^2 + 2a - 9b^2 - 3b.
*размещая тексты в комментариях ниже, вы автоматически соглашаетесь с пользовательским соглашением