Упр.46 ГДЗ Муравин 7 класс (Алгебра)
Решение #1

Рассмотрим вариант решения задания из учебника Муравин, Муравина 7 класс, Дрофа:
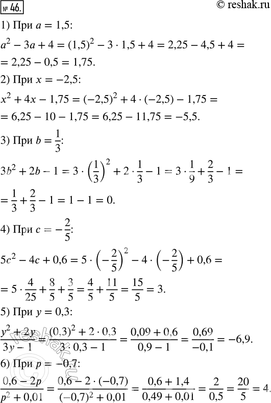
46. Найдите значение выражения:
1) a^2 - 3a + 4 при a = 1,5;
2) x^2 + 4x - 1,75 при x = -2,5;
3) 3b^2 + 2b - 1 при b = 1/3;
4) 5c^2 - 4c + 0,6 при c = -2/5;
5) (y^2 + 2y)/(3y - 1) при y = 0,3;
6) (0,6 - 2p)/(p^2 + 0,01) при p = -0,7.
*размещая тексты в комментариях ниже, вы автоматически соглашаетесь с пользовательским соглашением