Упр.528 ГДЗ Муравин 7 класс (Алгебра)
Решение #1

Рассмотрим вариант решения задания из учебника Муравин, Муравина 7 класс, Дрофа:
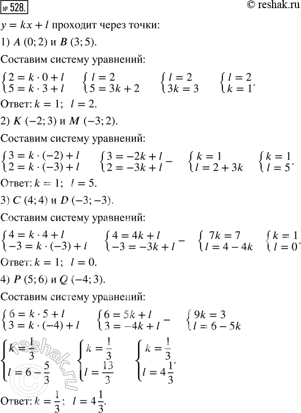
528. Прямая y = kx + l проходит через точки:
1) А(0; 2) и В(3; 5); 3) С(4; 4) и D(-3; -3);
2) K(-2; 3) и М(-3; 2); 4) Р(5; 6) и Q(-4; 3).
Найдите k и l.
*размещая тексты в комментариях ниже, вы автоматически соглашаетесь с пользовательским соглашением