Упр.81 ГДЗ Дорофеев Суворова 9 класс (Алгебра)
Решение #1

Рассмотрим вариант решения задания из учебника Дорофеев, Суворова, Бунимович 9 класс, Просвещение:
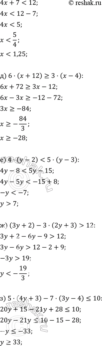
81. Действуем по алгоритму. Решите неравенство.
а) 14 ? 2 - 2(x-1);
б) -3(z+3) + 20 > 5;
в) 1/2(3x-1) > 10;
г) 2/3(4x+7) < 8;
д) 6(x+12) ? 3(x-4);
е) 4(y-2) < 5(y-3);
ж) (3y+2) - 3(2y+3) > 12;
з) 5(4y+3) - (3y-4) ? 10;
*размещая тексты в комментариях ниже, вы автоматически соглашаетесь с пользовательским соглашением