Упр.876 ГДЗ Колягин Ткачёва 10 класс (Алгебра)
Решение #1
Решение #2

Рассмотрим вариант решения задания из учебника Колягин, Ткачёва, Фёдорова 10 класс, Просвещение:
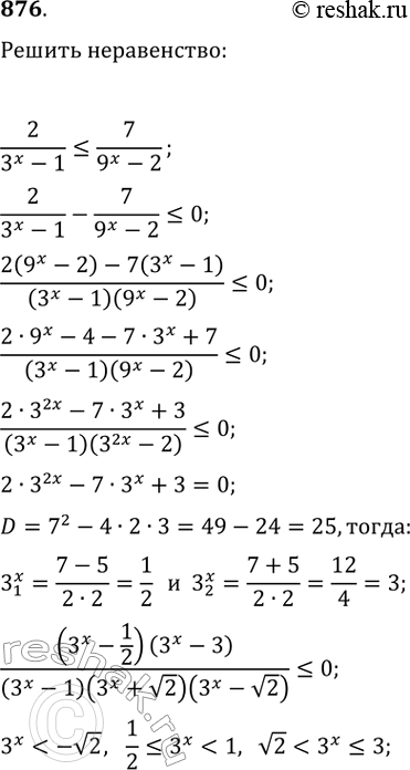
876.
2/(3^x-1)<=7/(9^x-2)
*размещая тексты в комментариях ниже, вы автоматически соглашаетесь с пользовательским соглашением