Упр.902 ГДЗ Колягин Ткачёва 10 класс (Алгебра)
Решение #1
Решение #2

Рассмотрим вариант решения задания из учебника Колягин, Ткачёва, Фёдорова 10 класс, Просвещение:
902.
1) логарифм (2-x^2) по основанию 3 - логарифм (-x) по основанию 3 =0
2) логарифм (x^2-12) по основанию 5 - логарифм (-x) по основанию 5 =0
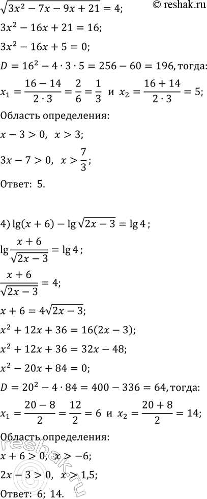
3) логарифм v(x-3) по основанию 2 + логарифм v(3x-7) по основанию 2 =2
4) десятичный логарифм (х+6) - десятичный логарифм v(2х-3) = десятичный логарифм 4
*размещая тексты в комментариях ниже, вы автоматически соглашаетесь с пользовательским соглашением